Кабмин обнародовал данные о зарплате министров за январь

Кабинет министров опубликовал о доходах премьер-министра, министров и их заместителей за январь 2020 года.
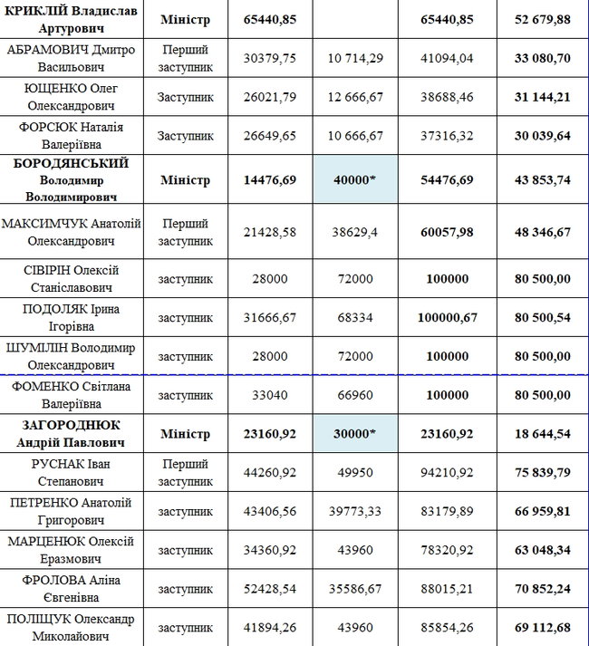
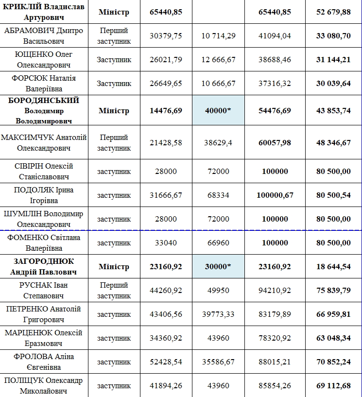
Соответствующая таблица с расчетом заработной платы чиновников обнародована на официальном правительственном портале, передает Бизнес Цензор.
Как отмечается в таблице, зарплаты чиновников за январь указаны без выплаты премий, которые будут начислены в феврале.
Так премьер-министр Алексей Гончарук получил в январе после уплаты налогов 33,78 тыс. грн, также ему начислено 20 тыс. грн премии.
Глава МВД Арсен Аваков получил 47,29 тыс. грн зарплаты после уплаты налогов, ему также начислено 30 тыс. грн премии. В то же время его заместители с учетом премии получили "на руки" по 63-79 тыс. грн.
Самую большую выплату получил заместитель министра иностранных дел Сергей Кислица – 130,17 тыс. грн, который был уволен с занимаемой должности в начале февраля.
В пресс-службе правительства отметили, что в январе выплаты начислялись по старым правилам. Но уже в феврале, согласно принятому 5 февраля правительством решению, зарплаты министрам и другим высокопоставленным будут начисляться с привязкой к средней зарплате по Украине через установленный коэффициент. При этом, премии будут не более одного оклада и в соответствии с оценкой деятельности по результатам квартала.
"Справедливым будет привязать зарплаты министров, заместителей министров и других чиновников к средней зарплате по стране через коэффициент премьер-министр и министры – 5 средних зарплат; заместители министров – 4,5. Максимальная премия – не более, чем один оклад", – отмечал на соответствующем заседании премьер-министр Алексей Гончарук.
Как сообщалось, 4 февраля президент Владимир Зеленский поддержал решение правительства по ограничению заработной платы и премий руководителям органов исполнительной власти и привязке их размера к средней зарплате в стране.
После этого соответствующее решение 5 февраля принял Кабинет министров.
Ранее Кабмин также опубликовал зарплаты и премии министров за 2019 год.






Дивні речі якісь..