Кабмин обнародовал список всех авто, выставленных на продажу
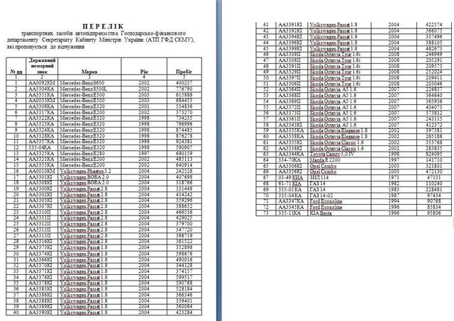
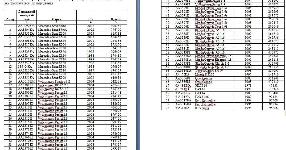
Секретариат Кабинета Министров Украины определил перечень транспортных средств автопредприятия Секретариата Кабинета Министров Украины, которые планируется реализовать на аукционе.
Об этом сообщил Министр Кабинета Министров Украины Остап Семерак в понедельник, 14 апреля, передает Цензор.НЕТ со ссылкой на УНН.
На торги будет выставлено 73 транспортных средства.
Также читайте: Кабмин сокращает штаты и ликвидирует ДУСю
Как сообщала пресс-служба Кабинета Министров, аукцион по продаже автомобилей, которыми располагает Секретариат Кабинета Министров Украины, планируется провести не позднее первой половины июня.
В аукционе по продаже автомобилей смогут принять участие все желающие. Процедура будет открытой и прозрачной.
Секретариат Кабинета Министров будет информировать общество о ходе подготовки к аукциону.
Также читайте: Кабмин выделил 1 млн 150 тыс. компенсации семьям погибших и пострадавшим в аварии на шахте

Не разговаривайте с тролем Затупчивым , таким образом вы его еще больше поощряете срать в каментах. Он здесь широко известен и всеми презираем...
Проще говоря - тычу носом свидомых в то говно, в которое они загнали страну. И на выборах проголосую обязательно. А ломать, крушить и убивать для смены одних олигархов на других - не мой стиль.
"Мы можем подтвердить, что глава (ЦРУ) был в Киеве", - ответил Карни на вопрос журналистов о том, находился ли Бреннан в Киеве в выходные
я бы взял коня,а то и два)
ничему они не учатся. сидят и тупо ждут бабло с запада раздерибанить.
Любой дворник может себе позволить.
Ну, или, честный чиновник.
.
Яценюк: Та кінчав то кінчав, але ж нічого не вивчив. Знаю тільки, що ось беруть даром за кордоном ганчірки ношені й в Україні продають - і на цьому шалені грощі мають. Так що секонд-хенд продавати в Україні - це найбільш вигідна справа. Давай машини міністертські продамо.
После известных событий в Киеве в этом гараже были найдены автомобили таких престижных моделей представительского класса, как "Ягуар", "Мерседес", "Роллс-ройс" и других, более "скромных" марок. Новые власти Украины торжественно заверили майдановцев, что машины будут проданы с аукциона, а вырученные средства пойдут "на благо народа". Как выясняется, "машины ушли налево", а точнее "направо". "Правый сектор" не стал отпираться и признал факт экспроприации, а на уголовном языке, попросту, кражи дорогого техсредства. "Извините, а ПС (Правый сектор) в революционное время должен был ПОКУПАТЬ машины?.. ... Везти Яроша в небронированном авто - это преступление халатности.
'
Мы пишем о том что происходит сейчас
'
pravda.cf - скажем нет лживым СМИ
Покупать машину после этих задниц я бы побрезговал.