Сегодня состоятся собеседования кандидатов в Харьковскую, Черновицкую, Бориспольскую, Каховскую и Павлоградскую местные прокуратуры. СПИСОК
В Украине проходят собеседования с кандидатами на должности в обновленной местной прокуратуре. Активисты призывают всех желающих помочь в борьбе с коррупцией и присоединиться к поиску среди кандидатов коррупционеров и людей с запятнанной репутацией, которые не должны пройти в обновленную прокуратуру. Также все желающие могут наблюдать онлайн за проведением собеседований.
Об этом сообщает Цензор.НЕТ.Вчера прошли собеседования по отбору кандидатов на должности в Броварскую местную прокуратуру Киевской области, Кельменецкую и Кицманскую местные прокуратуры Черновицкой области, Геническую местную прокуратуру Херсонской области, в Никопольскую и Новомосковскую местные прокуратуры Днепропетровской области, Харьковскую №4 и Дергачевскую местные прокуратуры Харьковской области.
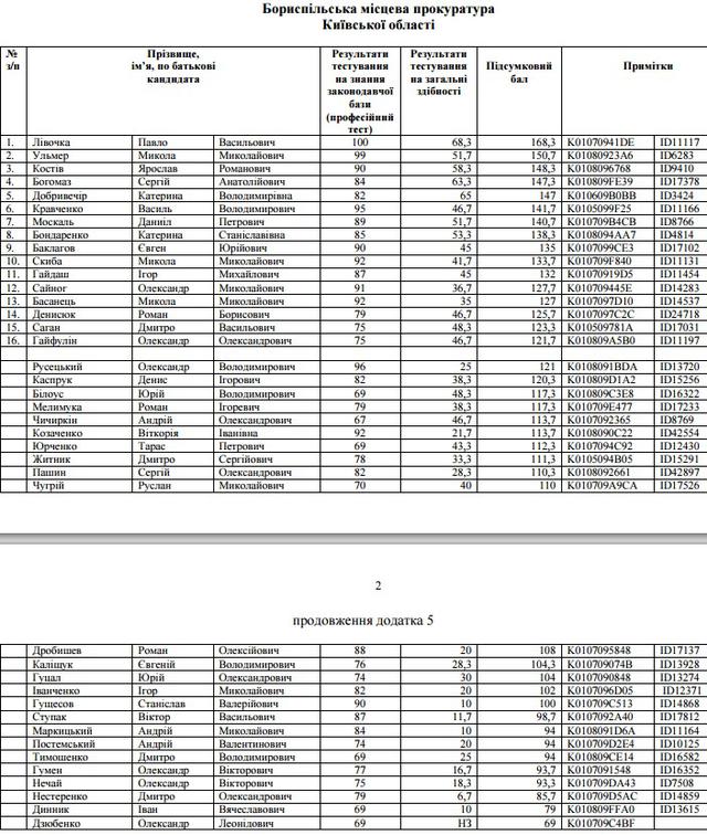
Сегодня проходят собеседования в Бориспольскую местную прокуратуру Киевской области (онлайн-трансляцию собеседования можно будет посмотреть по ссылке после начала работы комиссии), Черновицкую местную прокуратуру (онлайн-трансляцию собеседования можно будет посмотреть по ссылке после начала работы комиссии), Каховскую местную прокуратуру Херсонской области (онлайн-трансляцию собеседования можно будет посмотреть по ссылке после начала работы комиссии), в Павлоградскую местную прокуратуру Днепропетровской области и Константиновскую местную прокуратуру Донецкой области (онлайн-трансляцию собеседования можно будет посмотреть по ссылке после начала работы комиссии), Харьковскую №5 местную прокуратуру (онлайн-трансляцию собеседования можно будет посмотреть по ссылке после начала работы комиссии).
А в понедельник будет проводиться собеседование с кандидатами в Новокаховскую местную прокуратуру Херсонской области.
Информацию по кандидатам можно высылать на адрес электронной почты нардепа (НФ) Антона Геращенко: [email protected]. Также, активисты создали информационный ресурс helpus.watch, на котором каждый желающий приобщиться к борьбе с коррупцией может заполнить профиль кандидата по имеющейся у него информации или информации найденной из открытых источников, тем самым не допустив попадания в прокуратуру коррупционеров и людей с запятнанной репутацией.
По итогам каждого дня собеседования будут подписываться протоколы, в которых будет указываться, кого рекомендуют на назначение в органы прокуратуры.
Топ комментарии






Давай ще більше таких дієвих реформ.
Хто скаже скількі коштує посада генерала і орден "Герой України"????? Чув шо менше ніж стати самого біного прокурора району.