На Херсонщині окупанти планують провести понад 140 одночасних проросійських пікетів, - СБУ. ВІДЕО+ФОТОрепортаж
Служба безпеки України перехопила російські документи, які регламентують проведення фейкового референдуму РФ на тимчасово окупованій території Херсонщини.
Про це повідомляє Цензор.НЕТ із посиланням на пресслужбу СБУ.
Окупантам потрібен "референдум", щоб легітимізувати входження частини південної України до складу Росії. Розроблено концепцію підготовки до фейкового референдуму та визначено основні напрями роботи з прив’язками до дат. При цьому фінальна дата самого голосування поки не встановлена.
За наявною інформацією, основну роль в організації та проведенні псевдореферендуму загарбники планують віддати прокремлівській організації "волонтери zа росію". Під кураторством спецслужб рф її учасники мають розосередитись в регіоні для імітації підтримки окупантів місцевими жителями, а також створення постановочних сюжетів для росТБ.
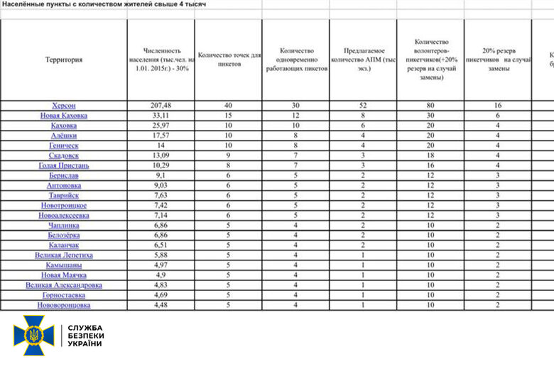
Для цього "активісти" планують організувати більше 140 одночасних проросійських пікетів, понад 30 з яких має відбутись в обласному центрі. Висвітлювати агітаційні зібрання мають підконтрольні кремлю медіа-ресурси та блогери, яких масово перекидають до регіону.
Крім того, представники окупаційної адміністрації отримали завдання від своїх московських кураторів щодо створення 20 "виборчих комісій" під керівництвом місцевих колаборантів. Склад "виборчкомів" мали затвердити вже до 1 серпня цього року.
За даними Служби безпеки, для посилення електоральної підтримки загарбники пропонують роздавати продуктові набори та стартові пакети російських операторів. Проте згідно з перехопленими ворожими матеріалами колаборанти "доповідають" своїм російським керівникам про те, що херсонці не сприймають ідеї "приєднання", чинять активний спротив та очікують на звільнення регіону від агресорів.
Наразі СБУ ідентифікувала та встановила місцеперебування всіх зрадників та їх "координаторів" з рф, причетних до організації псевдореферендуму. У межах кримінального провадження за посягання на територіальну цілісність і недоторканість України тривають комплексні заходи для притягнення винних до відповідальності. Документування злочинної діяльності проводили співробітники Служби безпеки в Херсонській області.





.
Що тут казати...Свої гниди самі ярі...
Не вірите?
Спитайте у Патрушева
ЗЕленин дал приказ!
Освободить проданный в Омане Юг 🤔
Готуйте Хаймарси з осколковими боєголовками! (або білим фосфором - теж непогано...)
Тоді всі питання у західних союзників України щодо необхідності визволення Кримського півострову воєнним шляхом відпадуть самі собою.
чи "неначасі"?