Держуправління справами просить понад 23 млн з Фонду протидії COVID-19 на медустанови для VIP-пацієнтів. ДОКУМЕНТ
Державне управління справами (ДУС) звернулося до прем’єр-міністра України Дениса Шмигаля з проханням виділити додаткові кошти медичним закладам для топ-чиновників, зокрема і "Феофанії".
Про це йдеться у листі Державного управління справами, опублікованого StateWatch, передає Цензор.НЕТ.
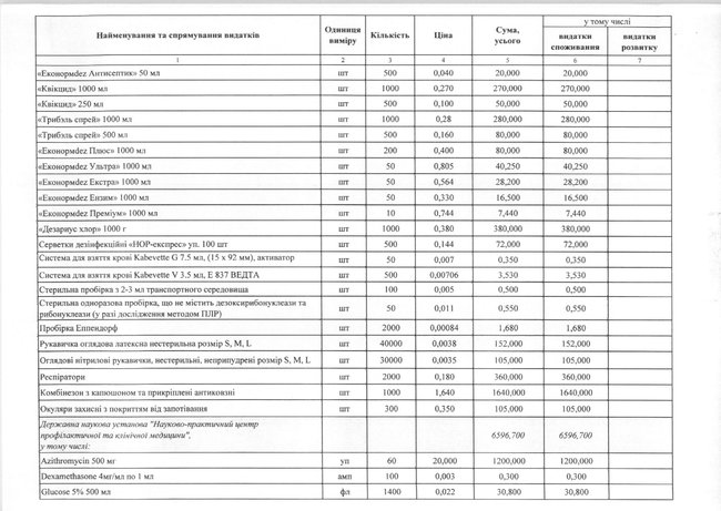
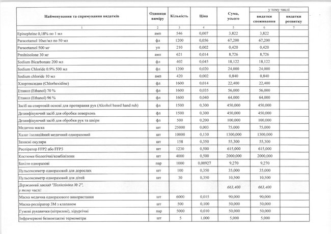
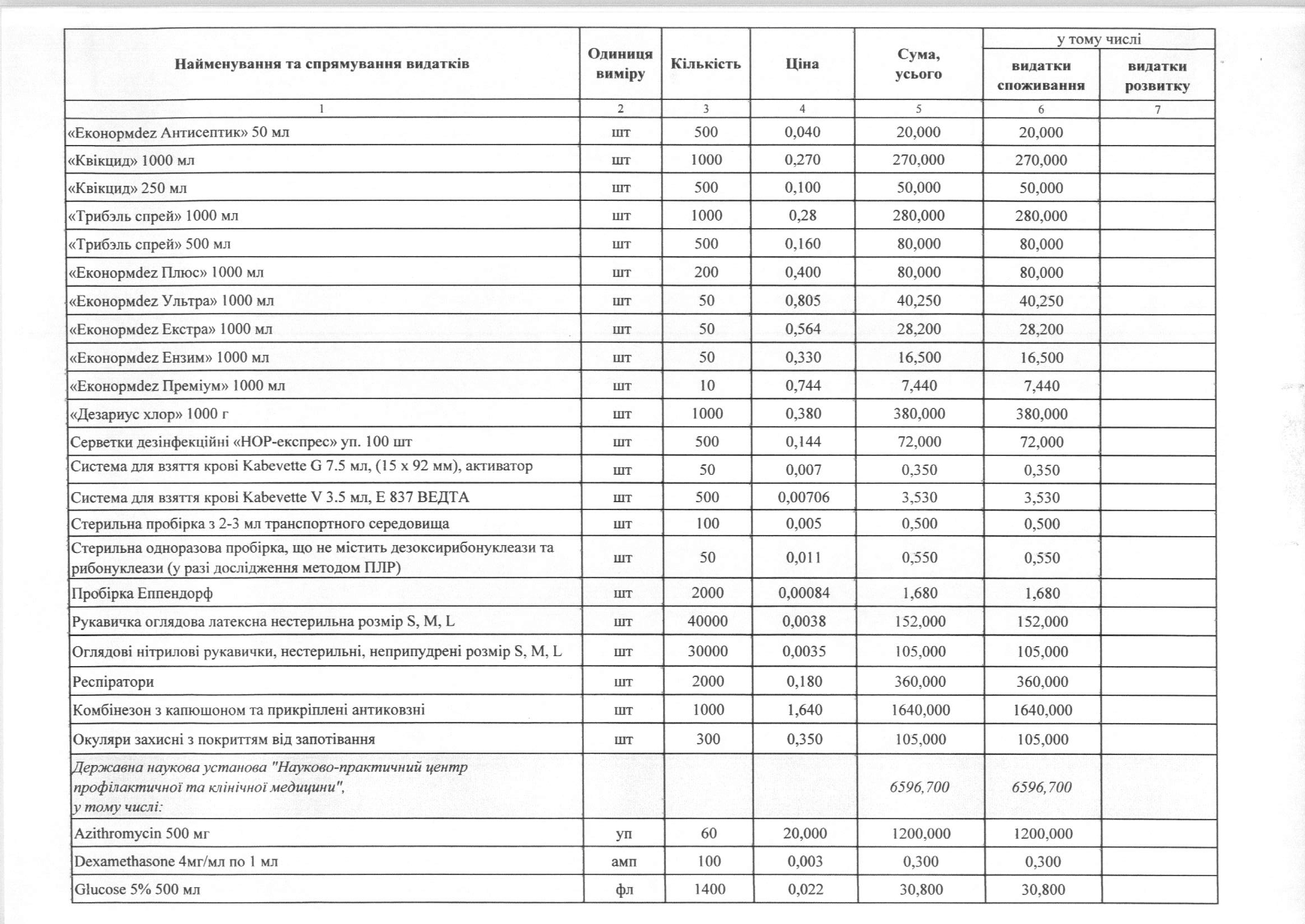
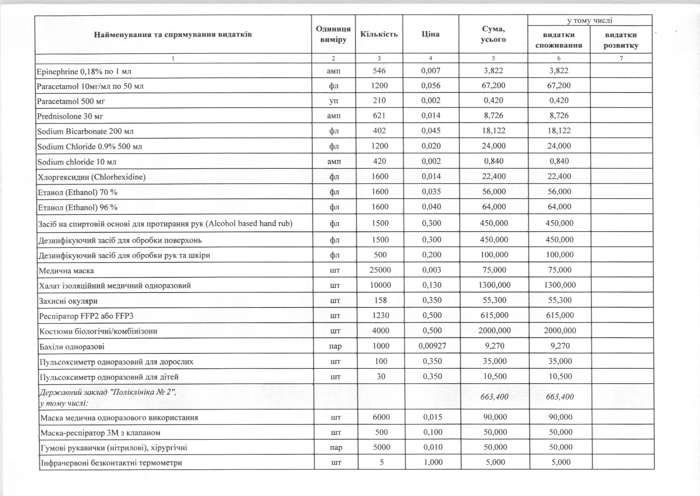
"Просимо доручити Міністерству фінансів України разом із заінтересованими органами розглянути зазначені пропозиції щодо виділення додаткового фінансування з фонду боротьби з гострою респіраторною хворобою COVID-19, спричиненою коронавірусом SARS-CoV-2, та її наслідками за бюджетною програмою ДУС "Надання медичних послуг медичними закладами" на загальну суму 23,4 млн грн", - говориться в тексті.
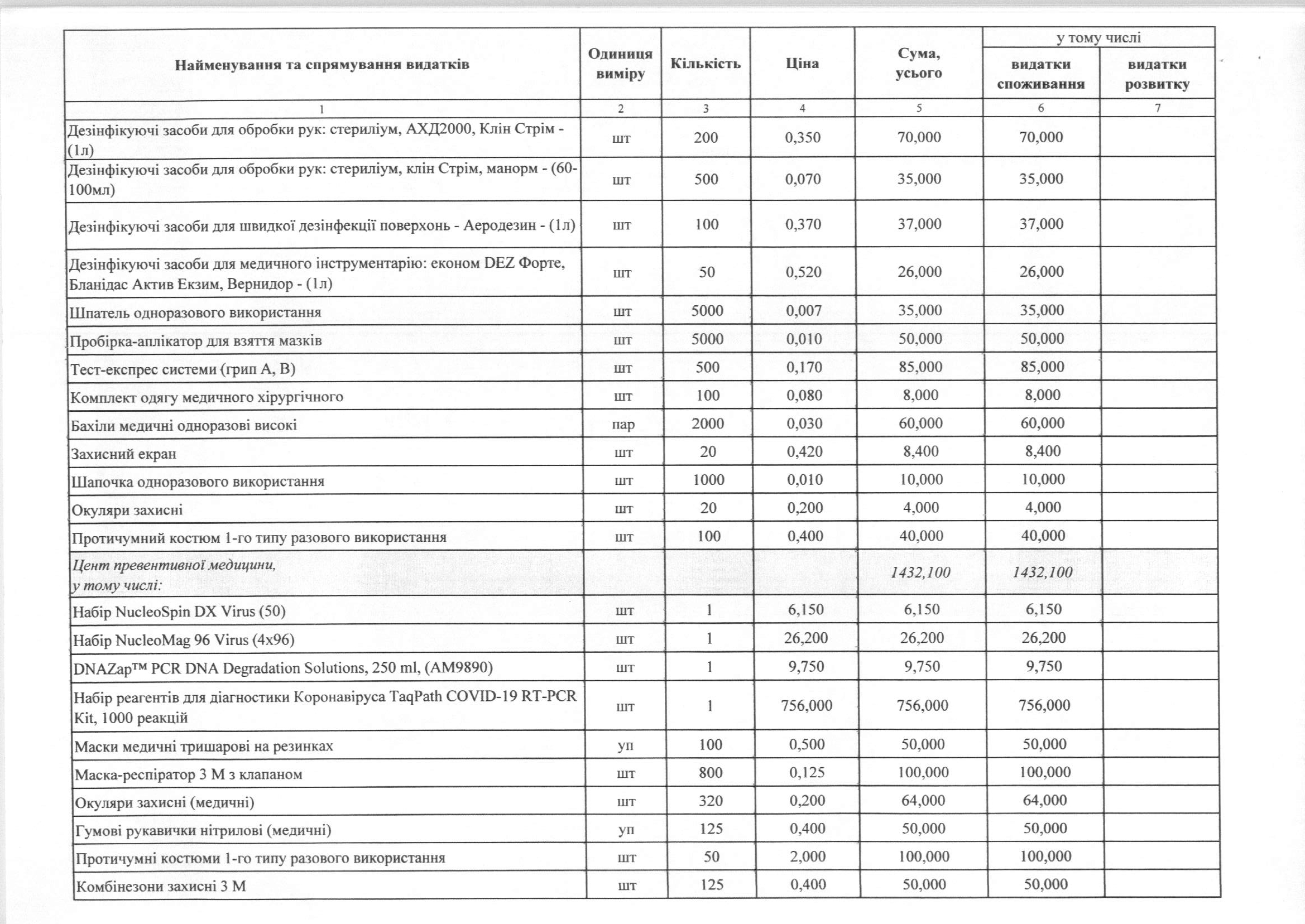
Окрім "Феофанії" мова йде про Поліклініку №2, Науково-практичний центр профілактичної та медичної медицини та Центр превентивної медицини, які також в управлінні ДУС.
Зазначається, що в цих медзакладах також нема достатньої кількості костюмів біозахисту, респіраторів, захисних окулярів та масок.
Зокрема, 637 тисяч гривень необхідні для закупівлі предметів та інвентарю для медичних потреб, 12 мільйонів 845 тисяч для закупівлі медикаментів, 9 мільйонів для закупівлі нового медичного обладнання та 174 тисячі - для ремонту медичного обладнання тощо.
В обґрунтуванні свого запиту на кошти з фонду у ДУС зазначили, що вони відповідають за епідемічне та санітарне благополуччя Президента України, РНБО, ВРУ, КМУ та інших органів та служб влади найвищих рівнів.
Також в Держуправлінні наголосили, що окрім топ-чиновників у відомчих медзакладах обслуговують і "інші категорії населення".
StateWatch нагадує, що наприкінці квітня уряд затвердив порядок використання 64,7 мільярдів гривень з Фонду на боротьбу з COVID-19.
Варто зауважити, що річний бюджет ДУС на 2020 рік складає понад 2,05 мільярди гривень. В Держуправлінні пояснюють, що перерозподіл існуючого бюджету організації неможливий.
На офіційній сторінці Національної служби здоров’я України у переліку лікарень, що приймають хворих на COVID-19 ані "Феофанії", ані будь-якої іншої лікарні ДУС немає.








З червня 2014 року - заступник Керівника ДУС.
28 серпня 2015 - 23 липня 2016 - тимчасово виконував обов'язки керівника ДУС.
Петя Порох посадил Супрун, которая делала все, чтобы доктора бежали из страны.
Кашляющий чиновник или его жена летели чартером туда в Немецию. Бо Еврами набили карманы немеряно.
Границы друзья закрыты надолго. И депутат с министром вынужден будет бегать в Феофанию. Там уровень медицины ниже ибо много блатных с дипломами и званиями.
Но припечет и пойдут заразы с заразой и в районную.
Доктора хорошие и вряд ли отомстят за свои унижения с зарплатой в 100 баксов, когда проститутка хорошая берёт 500.
Думаю Зелёным нужно кончать с продажей земли и предприятий, а занятая основой государства.
А это образование, медицина и наука.
И ещё товарищи власть наша на Вашей совести много нечитанных книг...
😁
напомните, где там платные кельи в СИЗО ? может туда отвозить VIP-ов...на губоЗЕлечение?
Так вот: За свои кровные "заработанные" зафигачил палату, ординаторскую, ну глава кабинет не обделил и чего-то там еще для реанимации подкупал....
Слабо повторить ?
Власним ротом стільки всього наобіцяв!